云霞资讯网

把药直接打进肿瘤里:13例晚期患者77%被按住,31%远处转移自己消失

导语:后线全身免疫药山穷水尽,远处转移仍步步紧逼,我们能否把药直接塞进肿瘤里让它自己当疫苗?这项研究用冷冻+低剂量双免+

导语:后线全身免疫药山穷水尽,远处转移仍步步紧逼,我们能否把药直接塞进肿瘤里让它自己当疫苗?这项研究用冷冻+低剂量双免+环磷酰胺的局灶鸡尾酒,在13例多线失败患者身上交出77%控制率、31%远隔效应和20.9个月中位OS,首次把“原位疫苗”概念推向前瞻II期,为冷肿瘤逆袭提供可复制的介入-免疫模板。

图源:CMT

全身免疫已山穷水尽?局部多靶点combos或许还有柳暗花明

去势抵抗性前列腺癌(CRPC)骨转移患者,每多一条治疗线,PS50降幅概率就掉15%;更尴尬的是,PD-1/PD-L1单药在实体瘤后线ORR普遍<10%,且irAE把20%病人直接挡在门外。我们习惯把免疫药物“静脉撒网”,却眼看T细胞在循环里被Tregs、MDSCs和PD-L1三重“刹车”耗尽,而肿瘤微环境(TME)依旧冷得结冰——这是当前全身免疫salvage治疗的死结:系统给药无法局部重塑抗原库,也撬不动Tregs高筑的围墙。

有人尝试放疗+ICIs诱发远隔效应,但放疗仅释放一次性抗原,且2-6 Gy剂量窗容易把DCs一起烤熟;病毒或溶瘤载体瘤内注射,又常被中和抗体和IFN-γ“反杀”,临床级复制受限。更棘手的是,单靶点阻断无法同步解除PD-1与CTLA-4双重耗竭,也无法选择性削减Tregs,导致“热”起来的灶点迅速被负反馈重新降温。于是,后线患者陷入“免疫耐药→换单药→再耐药”循环,远处转移持续播种,而骨髓储备和器官耐受度却被一次次系统化疗/免疫耗尽。

2025年9月Cancers杂志发表了一篇题为“First-in-Human Phase II Clinical Trial of Multiplex Intratumoral Immunotherapy (MITI) in Patients with Metastatic Solid Cancer (Abscopal 5001 Trial)”的文章,把“全身给药”翻篇,直接把低剂量CTLA-4+PD-1+环磷酰胺组合送进瘤内,再配冷冻消融与GM-CSF,试图用“五合一”原位疫苗唤醒远端免疫。作者抓住两大空白:①单药免疫后线有效率<10%,且毒性累及全身;②消融或辐射虽有远隔效应,却仅激活1-2条免疫通路。MITI用局部分子“鸡尾酒”同时撬动抗原释放、Treg衰减、共刺激解除、树突细胞动员、远端克隆扩增五环节,把“能不能把免疫战场拉回肿瘤内部”这一拷问搬上临床舞台。前期19例前列腺癌回顾数据中位PFS 6个月、CR47%,已提示该策略可能突破传统免疫耐药线,于是设计者趁热启动前瞻性II期,正式检验安全窗口与远隔效应发生率,为“后线无药”人群争取时间。

单臂小队列如何验五联?冷冻后即刻注药,四周一轮最多三轮

本研究是一项first-in-human、单中心、单臂、开放标签的II期可行性试验,旨在评估MITI方案对多线失败转移性实体瘤的安全性、初步疗效及远隔效应。纳入标准:≥18岁、≥1个可穿刺1 cm以上转移灶、既往标准治疗失败、ECOG 0-3、预期寿命>3个月;排除活动自身免疫病、需系统激素或第二进展肿瘤。最终2021年6月至2023年1月共入13例(12例转移癌、1例骶骨脊索瘤),涵盖前列腺、乳腺、结肠、膀胱、肾、子宫、舌、肉瘤等8类。干预流程:每周期第-5至-3天口服环磷酰胺50 mg qd,第0天CT引导先以2-3 min冷冻探针制造≈2 cm冰球,并行17 G套管即刻注入RP-01-5001(pembrolizumab 50 mg + ipilimumab 10 mg + 环磷酰胺20 mg)随后胶原凝胶封堵,出院后GM-CSF 250 μg皮下每日×4周;若影像iRECIST评效稳定或缩小,28天后再启下一周期,最多3周期。主要终点:PFS;次要终点:按iRECIST(病理优先)判定的ORR、DCR、abscopal比例、OS及NCI-CTCAE v5.0毒性。所有患者治疗前行基线穿刺,第2、3周期前可重复活检以排除假残留。

77%病灶被稳住,31%远处转移自己消失,中位OS20.9个月

DCR77%:13例里10例病灶被按住

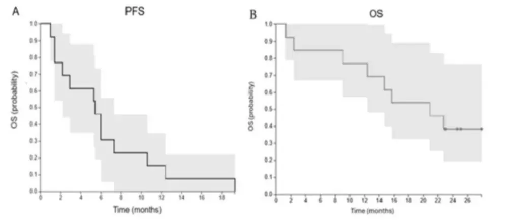
与图1A(PFS曲线)对应

iRECIST结合活检修正后,1例完全缓解(CR,7.7%),4例部分缓解(PR,30.8%),5例疾病稳定(SD,38.5%),汇总疾病控制率77%(10/13)。作者原话:“This compares favorably with historical salvage monotherapy response rates of <15%.”他们强调,该数字是在“多线失败、已符合临终关怀条件”人群中获得,因而具临床意义;同时提醒,若按传统RECIST仅看影像,会把4例纤维假瘤误判为残留,DCR会被低估至54%,突显“病理优先”评估的必要性。

图1 生存分析

注:(左)无进展生存期:中位PFS=5.4(1.8–23.1)个月;(右)总生存期:中位OS=20.9(9.1–22.8)个月。

ORR 38%:最佳降幅0–91%,有反应者均值38%

与图2A–B(肉瘤病例前后CT)对应

可测量靶病灶最大径之和下降幅度:最低0%,最高91%,中位22%;把CR+PR 5例单独拉出,平均缩小38%。作者讨论指出,降幅分布呈“两极化”——前列腺癌3例淋巴结径线仅降15–20%,但PSA却从80→36 ng/mL,提示传统径线指标可能低估内分泌-免疫联合的生物效应;相反,肉瘤与膀胱癌出现“断崖式”缩小,说明免疫“热”瘤对同步阻断PD-1/CTLA-4更敏感。

图2 经MITI成功治疗的转移性纤维肉瘤患者病例

注:(A、C、E)治疗前;(B、D、F)治疗后。CT扫描:左臂残端肿块。(A):36.3 × 26.4 mm = 958.2 mm²(异常;全部为癌);(B):25 × 14.7 mm = 367 mm²(显著缩小;活检证实癌组织完全消失,见下方F)。CT扫描:肺右下叶肿块。(C):19.7 × 15.5 mm = 305.4 mm²(异常);(D):10 × 8 mm = 80 mm²(正常)(显著缩小;癌组织完全消失)。活检组织病理:左臂残端。(E):癌:黏液样纤维肉瘤;(F):良性纤维性假瘤。

PFS 5.4月,OS 20.9月:曲线拖尾暗示免疫记忆

与图1A–B(PFS与OS Kaplan–Meier)对应

中位随访17.8个月,PFS中位5.4个月(95%CI:1.8–23.1),但1年PFS率仍有23%;OS中位20.9个月(95%CI:9.1–22.8),12个月生存率78%。作者特别把OS曲线后段“平台”拎出来讨论:5例仍在存活且无需后续系统治疗,其中3例为病理证实CR或PR,提示局部多靶点免疫可能诱导持久记忆,而非传统化疗的“拖尾”假象。

Abscopal 31%:4例远端转移自己消失

与图2C–D(肺转移灶前后对比)对应

13例中4例出现非注射部位客观缓解,发生率31%。细节如下:肉瘤患者右下肺结节19.7×15.5 mm → 10×8 mm,活检转阴;膀胱癌患者双肺+肝转移灶PET完全阴性,肝穿刺未见癌;宫颈癌阴道残端结节消退60%;脊索瘤大腿皮下多灶结节融合径下降72%。

作者引用Golden等放疗+GM-CSF的27%远隔率做横向对比,认为“局部冷冻+双免”可产生类似系统辐射的系统性免疫风暴,却避开放射野重叠毒性;他们推测冷冻释放的全抗原库与CTLA-4阻断协同,促进CD8+T细胞在外周血重分布(外周流式未列数据,留作后续探索)。

Pseudoresiduum 57%:影像会撒谎,病理才拍板

与图2E–F(活检对照)对应

7例接受治疗后穿刺,4例CT上仍见>1 cm强化灶,但组织学仅见纤维假瘤,无活癌;该比例占穿刺人群的57%,占全组31%。作者据此修正iRECIST,把“病理阴性”直接定义为iCR或iPR,防止过度治疗。他们提醒,免疫+消融后血管正常化可造成持续强化,PET-CT亦可能因炎性摄取假阳性,因此“能穿就穿”应成为瘤内免疫试验的标配终点。

毒性69%皆≤G2:系统irAE几乎缺席

与图3对应

总不良事件69%(9/13),仅2例一过性G3(气胸、肺炎),无G4–5。皮疹与腹泻各占23%,均归因于GM-CSF;无甲状腺功能减退、无垂体炎、无肝炎。作者对比文献:二线PD-1单药治疗尿路上皮癌G3 irAE发生率8%,而MITI把药物锁在局部,血清峰浓度仅为静脉给药的1/10–1/20,从而把骨髓与内分泌系统毒性挡在门外,为“体弱后线”患者提供可操作窗口。

图3 转移性实体瘤患者接受MITI后不良事件汇总

疗程完成率62%:门诊2 h走人,依从性不俗

8/13例按计划接受3周期,3例因进展、2例因合并症提前终止;无一人因毒性退出。作者强调,全部操作在局麻+CT引导完成,术后2 h出院,无需留观,提示该模式可在基层介入放射科复制,无需配备高端放疗设备,为后续多中心扩展扫清场地障碍。

综上,MITI用一组“低剂量局部组合拳”交出77% DCR、31% abscopal、中位OS20.9个月的成绩单,并把G3以上毒性压到15%,同时揭示“病理矫正评估”与“影像假残留”两大陷阱,为后续随机对照提供终点与剂量依据。

总结

MITI用“冷冻+瘤内低剂量双免+环磷酰胺+GM-CSF”五连击,把抗原释放、共抑制阻断、Treg衰减、树突细胞动员、远端克隆扩增全部锁在一次门诊操作里。13例多线失败患者DCR 77%,abscopal 31%,中位OS接近21个月,≥3级毒性仅15%,无治疗相关死亡。研究首次用前瞻数据证实:把免疫药物直接“灌”进肿瘤,可在安全窗口内同时激活局部与全身免疫,为后线人群赢得宝贵生存时间;并警示影像评估需结合病理,以免把纤维假瘤当成活癌。样本小、异质性高、无对照是短板,但方案机制清晰、操作可复制,已具备扩大样本与随机对照的底气。

参考文献

Bostwick DG, Wilk MM, Bostwick BR, et al. First-in-Human Phase II Clinical Trial of Multiplex IntraTumoral Immunotherapy (MITI) in Patients with Metastatic Solid Cancer (Abscopal 5001 Trial).[J]Cancers (Basel). 2025;17(18):2990. Published 2025 Sep 12. doi:10.3390/cancers17182990

“医学论坛网”发布医学领域研究成果和解读,供专业人员科研参考,不作为诊疗标准,使用需根据具体情况评估。

编辑:一诺

审核:白术

封面图源:CMT

评论列表

pc2boy
pc2boy 1
2026-02-26 08:51
癌症晚期并不是只有肿瘤,还有扩散的细胞。你可以把药打进这些扩散的癌细胞里面吗?如果不能就没多大用。
4514286
4514286 1
2026-02-25 21:15
介入疗法。