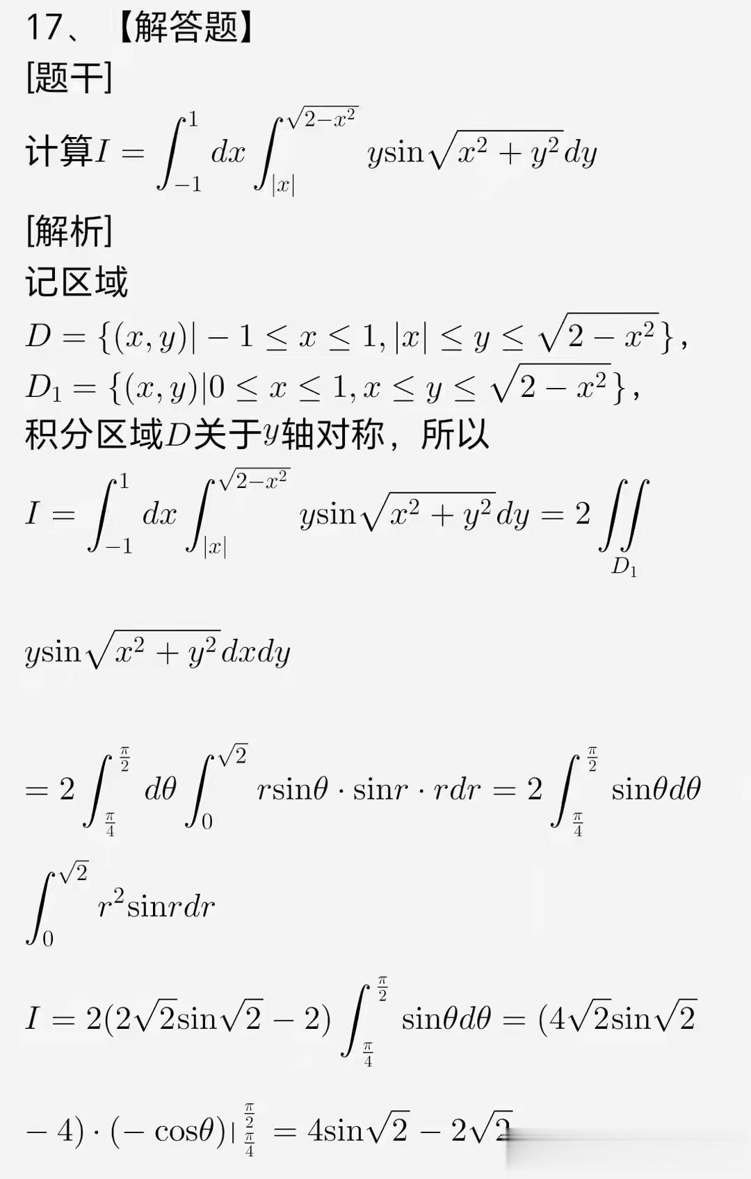
2026年全国硕士生考研数学二答案出炉,考研数学分为全国试卷一和全国试卷二,其中试卷一的难度要大于试卷二,不少工科专业会考数学一,而不少理科的专业是考数学二。试卷一和试卷二数学满分150分,往年平均分为70分左右,能考90分都是高手。














关注我,我是江城中高考升学,为你提供最新鲜,最独特视角的中高考,奥赛资讯!!!
2026年全国硕士生考研数学二答案出炉,考研数学分为全国试卷一和全国试卷二,其中试卷一的难度要大于试卷二,不少工科专业会考数学一,而不少理科的专业是考数学二。试卷一和试卷二数学满分150分,往年平均分为70分左右,能考90分都是高手。














关注我,我是江城中高考升学,为你提供最新鲜,最独特视角的中高考,奥赛资讯!!!