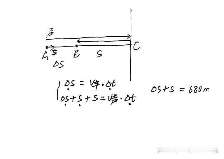
初中物理 第二小题怎么做? 第一小问的结论应该可以用,否则两个方程,三个未知量无解。
猜你喜欢
【3评论】【168点赞】
【26点赞】
【8点赞】
【1评论】
【7点赞】
【1评论】【6点赞】
真诚的奶酪小子
感谢大家的关注
作者最新文章
热门分类
军事TOP
军事最新文章