考虑到平行班学生基础普遍弱一些,上课尽量详细
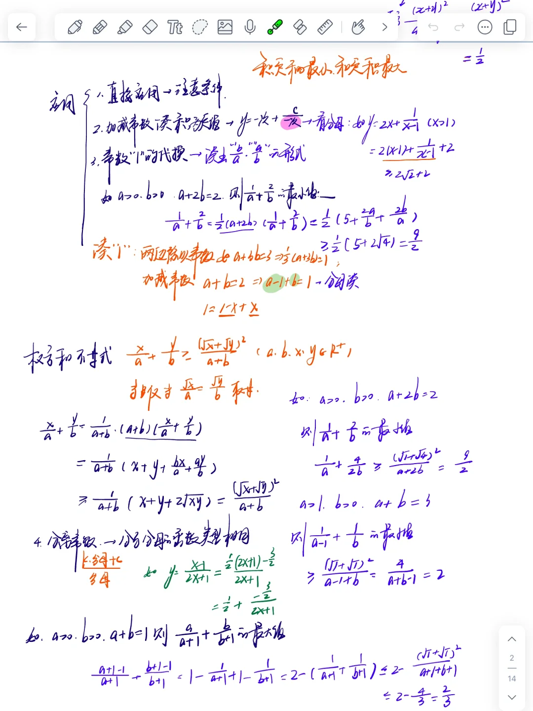
本家主要讲了均值不等式和重要不等式,拓展了权方和不等式,不等式这块儿关键是凑定值!
1、[玫瑰R]讲了不等式的直接应用(这里面主要强调均值不等式的三条件)
2、[福R][福R]讲了加减常数凑定值
3、[福R][福R][福R]讲了常数1的代换并拓展了权方和不等式,但是这个权方和不等式对于普通版学生来说用的并不溜,孩子们更习惯传统的方法,学的比较死板
4、[烟花R][烟花R][烟花R][烟花R]分离常数凑定值
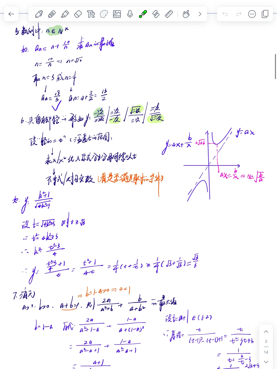
5、[气球R][气球R][气球R][气球R][气球R]强调了数列种用不等式时需要注意n是正整数
6、[火R][火R]头重脚轻型
7、[庆祝R][庆祝R]消元
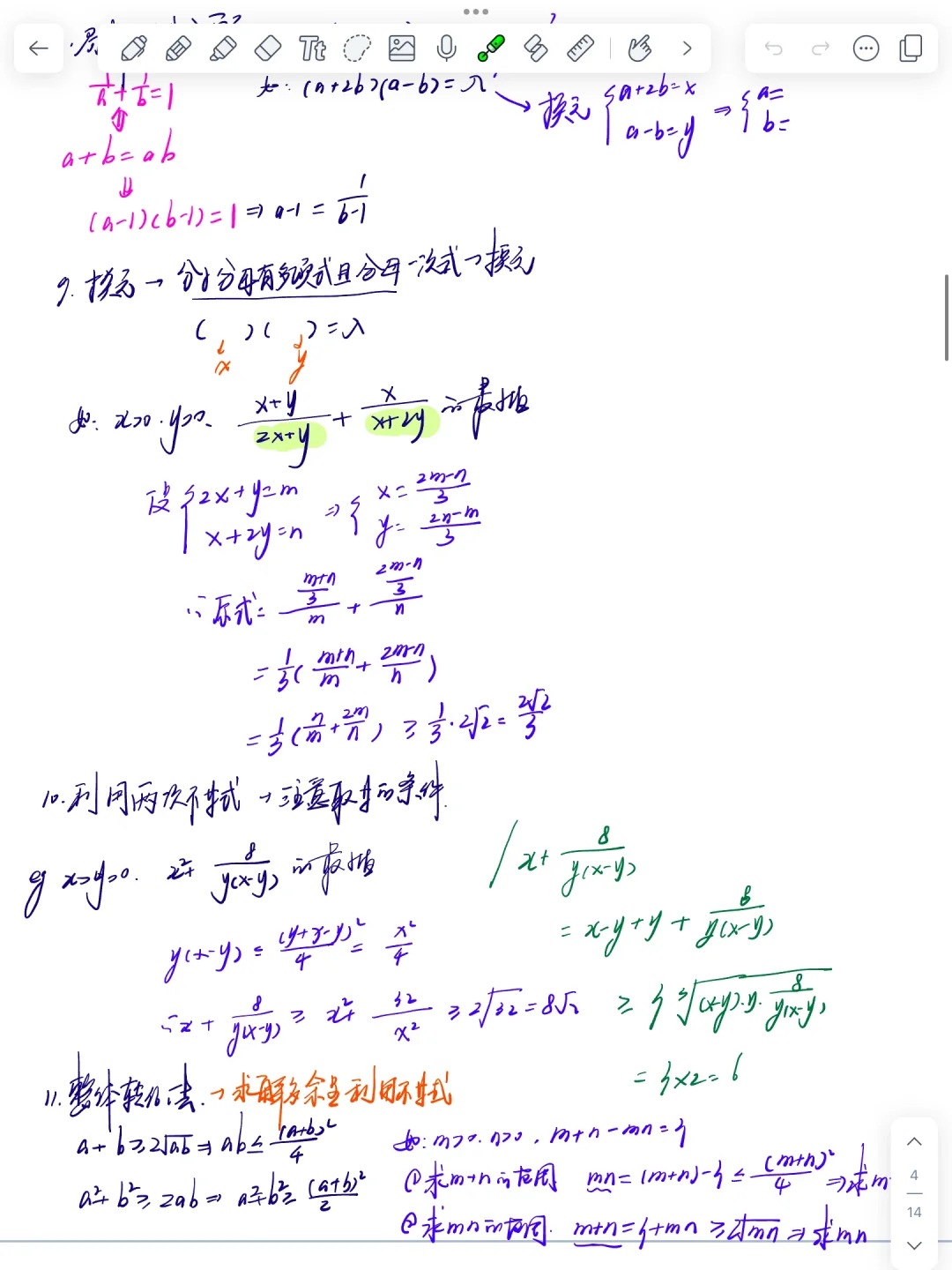
8、局部因式分解
9、换元简化运算
10、利用两次不等式(并讲解了本次高二四省联考19题第一问)
11,整体转化法(这里面扩展了判别式法)
普通班孩子普遍反应讲课难度偏大[哭惹R][哭惹R],我已经在尽量简单化了,平行班学生真的不太好带,我在想如果平时讲的太简单,遇到稍微难点的题该怎么办?
接下来两节课继续不等式






