
CPI(Consumer Price Index)即居民消费价格指数,是反映一定时期内居民消费的商品和服务价格水平变动趋势和程度的相对数,其按年度计算的变动率通常被用来反映通货膨胀或紧缩的程度。CPI及其分类指数,是计算国内生产总值以及资产、负债、消费、收入等实际价值的重要参考依据。
CPI如何调查?CPI 通常采用抽样调查的方法。国家统计局和地方统计部门分级确定用于计算CPI的商品和服务项目以及调查网点。
1、确定待采集数据的商品和服务
国家统计局根据全国城乡居民家庭消费支出的抽样调查资料统一确定商品和服务项目的类别,设置包括:食品烟酒、衣着、居住、生活用品及服务、交通通信、教育文化娱乐、医疗保健、其他用品及服务八大类260余个基本分类,基本涵盖了城乡居民的全部消费内容。在这些分类中,统计部门抽选一组居民经常消费的、对居民生活影响较大的、有代表性的、固定数量的商品和服务,这一组固定数量的630余个商品和服务统称为“商品篮子”。
2、确定调查网点
全国抽选约500个市县,确定采集价格的调查网点,包括食杂店、百货店、超市、便利店、专业市场、专卖店、购物中心、农贸市场、服务消费单位等共6.3万个。
3、采集数据
统计部门派调查员到调查网点“定人、定点、定时”现场采集价格。目前,分布在全国31个省(区、市)500个调查市县的价格调查员共4000人左右。
价格采集频率因商品而异:
(1)粮食、猪牛羊肉、蔬菜等与居民生活密切相关、价格变动相对比较频繁的食品,每5天调查一次价格;
(2)对于服装鞋帽、耐用消费品、交通通信工具等大部分工业产品,每月调查2-3次价格;
(3)对水、电等政府定价项目,每月调查核实一次价格。
CPI如何计算?CPI 是通过对选定的商品和服务项目的价格进行加权平均计算得出的。原始采集数据从市县到省(区、市)调查总队,最后到国家统计局进行汇总后进行计算。
季节调整:CPI 数据也可能受到季节因素的影响,为了消除季节因素的干扰,使数据更具可比性,通常会进行季节调整。季节调整的方法旨在去除数据中的季节性波动,突出长期趋势和周期性变化。
价格指数对比基期:从 2000 年开始,CPI 计算由每月变动对比基期改为固定对比基期,居民消费价格首轮对比基期定为 2000 年,即以 2000 年平均价格为基期价格。考虑到消费市场的发展变化、居民消费的升级换代,为更准确反映居民消费结构的新变化和物价的实际变动,规定每 5 年进行一次基期轮换。CPI 基期轮换包括调查商品“篮子”、调查网点、代表规格品和权数等的调整。从 2016 年开始到 2020 年的五年,使用 2015 年作为对比基期,调查商品和权数以 2015 年城乡居民消费支出结构来确定。
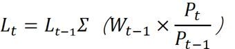
定基指数计算公式:不同的商品和服务项目在计算中具有不同的权重,这些权重反映了它们在居民消费中的重要性。具体的计算方法是将每个项目的价格变动乘以其相应的权重,然后求和,再除以基期的总价格,最后乘以100得到指数值。

其中,L 为定基指数,W 为权重,P 为价格,t 为报告期,t-1为报告期的上一期(基期),

为本期环比指数。
CPI如何使用?全国及各省、大中城市均会发布各自的CPI指数。CPI分为全国居民消费价格指数、城市居民消费价格指数、农村居民消费价格指数,其中又包括综合指数和分类指数,是衡量通货膨胀或通货紧缩的重要指标,通常我们说的CPI是全国居民消费价格指数。
当 CPI 上升时,意味着居民消费的商品和服务价格普遍上涨,可能出现通货膨胀;当 CPI 下降时,则可能表示出现通货紧缩。基期指数永远为100。
CPI=100,报告期与基期相比综合物价没有变化;
CPI>100,报告期与基期相比综合物价上升;
CPI<100,报告期与基期相比综合物价下降。
通常我们在看到CPI指数时会感觉与实际情况有些差异,那是因为 CPI 是一个综合反映居民消费商品和服务价格变动情况的加权计算后的综合平均数,不针对具体的商品。因此,要了解某种具体商品或服务价格变动情况,就要去查询具体分类指数。例如,想了解全国整体的猪肉价格涨了多少,就要去查看全国居民消费价格指数下,食品分类中的猪肉居民消费价格指数。

CPI综合及分类指标示意图 (由华通数据库提供)
CPI与其他指标的关系?1、与 GDP(国内生产总值):
CPI 可以反映物价水平的变动,而物价的稳定对于经济的持续增长至关重要。过高的 CPI 上涨可能意味着通货膨胀压力增大,会对经济增长产生负面影响,因为它可能导致消费者购买力下降、企业成本上升等。例如,在严重的通货膨胀时期,消费者可能会减少消费,企业可能会因为原材料价格上涨而减少投资和生产,从而影响 GDP 的增长。
2、与 PPI(生产者价格指数):
PPI 衡量的是生产者在生产过程中面临的价格变动。通常情况下,PPI 的变化会传导至 CPI,因为生产者的成本变化最终会反映在消费者购买的商品和服务价格上。但有时这种传导可能并不完全顺畅或及时。比如,当 PPI 大幅上升而 CPI 相对稳定时,可能表明生产环节的成本压力尚未完全传递到消费端。
3、与利率:
CPI 的变动会影响央行对利率的决策。高 CPI 通常会促使央行提高利率,以抑制通货膨胀;反之,低 CPI 可能导致央行降低利率,刺激经济增长和消费。
4、与货币供应量:
货币供应量的过多增长可能导致通货膨胀,从而推高 CPI。央行会通过监测 CPI 来调整货币供应量,以维持物价稳定。例如,如果货币供应量增长过快,超过了经济实际需求,可能引发 CPI 的快速上升。