云霞资讯网

期刊论文指导编辑的文章

2026年无为市初中英语优质课评选拟获奖结果及推荐参加芜湖市比赛人选名单公示!恭

2026年无为市初中英语优质课评选拟获奖结果及推荐参加芜湖市比赛人选名单公示!恭

2026年无为市初中英语优质课评选拟获奖结果及推荐参加芜湖市比赛人选名单公示!恭
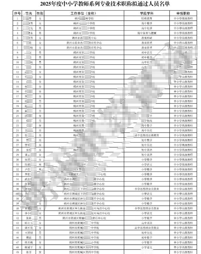
2025年度朔州市中小学教师系列专业技术职称评审拟通过人员公示名单公示,共194

2025年度朔州市中小学教师系列专业技术职称评审拟通过人员公示名单公示,共194

2025年度朔州市中小学教师系列专业技术职称评审拟通过人员公示名单公示,共194
2025年度中山市中职正高级教师职称评审通过人员公示!共5名优秀教师获得拟通过,

2025年度中山市中职正高级教师职称评审通过人员公示!共5名优秀教师获得拟通过,

2025年度中山市中职正高级教师职称评审通过人员公示!共5名优秀教师获得拟通过,
中小学教师职称评审中,县级优秀教育工作者,是综合荣誉吗?
这个答案是肯定的,只要

中小学教师职称评审中,县级优秀教育工作者,是综合荣誉吗? 这个答案是肯定的,只要

中小学教师职称评审中,县级优秀教育工作者,是综合荣誉吗? 这个答案是肯定的,只要
山东教师职称评审教师职称要求:学生、家长满意度高,同行评价、民主测评成绩高。 这

山东教师职称评审教师职称要求:学生、家长满意度高,同行评价、民主测评成绩高。 这

山东教师职称评审教师职称要求:学生、家长满意度高,同行评价、民主测评成绩高。 这
中小学教师职称评审除了业绩论文,支教等要求以外还需要任现职以来,有在校级以上范围

中小学教师职称评审除了业绩论文,支教等要求以外还需要任现职以来,有在校级以上范围

中小学教师职称评审除了业绩论文,支教等要求以外还需要任现职以来,有在校级以上范围
山西2025年度全省卫生系列高级职称评审通过人员名单公示,部分名单如下有你认识的

山西2025年度全省卫生系列高级职称评审通过人员名单公示,部分名单如下有你认识的

山西2025年度全省卫生系列高级职称评审通过人员名单公示,部分名单如下有你认识的
内蒙古中小学教师职称系列评审条件最新课程评价要求如下,申请高级职称的老师们一定按

内蒙古中小学教师职称系列评审条件最新课程评价要求如下,申请高级职称的老师们一定按

内蒙古中小学教师职称系列评审条件最新课程评价要求如下,申请高级职称的老师们一定按
云南中小学教师高级职称评审教科研业绩要求:主持/参与市级课题并结题;省级以上论文

云南中小学教师高级职称评审教科研业绩要求:主持/参与市级课题并结题;省级以上论文

云南中小学教师高级职称评审教科研业绩要求:主持/参与市级课题并结题;省级以上论文
海口市琼山中学关于2025年度教师系列高级及以下专业技术资格评审(认定)通过人员

海口市琼山中学关于2025年度教师系列高级及以下专业技术资格评审(认定)通过人员

海口市琼山中学关于2025年度教师系列高级及以下专业技术资格评审(认定)通过人员
中小学教师参评高级职称评审是有要求班主任经历的,这个是基础的要求,但是能够加多少

中小学教师参评高级职称评审是有要求班主任经历的,这个是基础的要求,但是能够加多少

中小学教师参评高级职称评审是有要求班主任经历的,这个是基础的要求,但是能够加多少
山东省中小学高级教师职称评审量化评分总表中,教龄是如何计算的?
在职称评审中一般

山东省中小学高级教师职称评审量化评分总表中,教龄是如何计算的? 在职称评审中一般

山东省中小学高级教师职称评审量化评分总表中,教龄是如何计算的? 在职称评审中一般
好消息,2025年度潍坊市基层中小学教师高级职称评审通过人员名单公示了,部分名单

好消息,2025年度潍坊市基层中小学教师高级职称评审通过人员名单公示了,部分名单

好消息,2025年度潍坊市基层中小学教师高级职称评审通过人员名单公示了,部分名单
普陀区教育系统正高级教师三级岗位等级晋升拟聘人员名单公示!共5名优秀教师顺利晋升

普陀区教育系统正高级教师三级岗位等级晋升拟聘人员名单公示!共5名优秀教师顺利晋升

普陀区教育系统正高级教师三级岗位等级晋升拟聘人员名单公示!共5名优秀教师顺利晋升
东莞市樟木头镇2025年度中小学幼儿园教师中级及以下职称评审和考核认定拟通过人员

东莞市樟木头镇2025年度中小学幼儿园教师中级及以下职称评审和考核认定拟通过人员

东莞市樟木头镇2025年度中小学幼儿园教师中级及以下职称评审和考核认定拟通过人员
你好编辑,我是山东教师想要评职称,请问:业绩类荣誉:市教学先进个人,论文(六选一

你好编辑,我是山东教师想要评职称,请问:业绩类荣誉:市教学先进个人,论文(六选一

你好编辑,我是山东教师想要评职称,请问:业绩类荣誉:市教学先进个人,论文(六选一
2025年度钦州市中等职业学校教师系列讲师评审拟通过人员名单公示,共32名优秀顺

2025年度钦州市中等职业学校教师系列讲师评审拟通过人员名单公示,共32名优秀顺

2025年度钦州市中等职业学校教师系列讲师评审拟通过人员名单公示,共32名优秀顺
常平镇2025年度中小学教师职称评审通过人员公示名单出了,恭喜这些优秀的老师们,

常平镇2025年度中小学教师职称评审通过人员公示名单出了,恭喜这些优秀的老师们,

常平镇2025年度中小学教师职称评审通过人员公示名单出了,恭喜这些优秀的老师们,
2026年迪庆州中小学教师系列高级评审拟推荐人员名单公示,通过的部分人员如下,恭

2026年迪庆州中小学教师系列高级评审拟推荐人员名单公示,通过的部分人员如下,恭

2026年迪庆州中小学教师系列高级评审拟推荐人员名单公示,通过的部分人员如下,恭
教师职称评审,定向评审下来的基层副高,含金量和市里评的一样吗?
其实今年不少加送

教师职称评审,定向评审下来的基层副高,含金量和市里评的一样吗? 其实今年不少加送

教师职称评审,定向评审下来的基层副高,含金量和市里评的一样吗? 其实今年不少加送